Update on Proposed Partnership with Westbow Group of Companies
Thank You from Chief & Council
On behalf of the community of SȾÁUTW̱ First Nation we extend our sincere gratitude to all community members who took the time to share their voices, perspectives, and participation throughout the recent engagement process and community vote.
We recognize and deeply value the time, care, and thoughtfulness that community members brought forward—whether through attending engagement sessions, asking questions, offering reflections, or participating in the vote. Each voice contributed to a collective process grounded in respect, responsibility, and care for our lands, future generations, and shared wellbeing.
Community participation reflects the strength of our people and the importance of ensuring that decisions affecting our lands and future are guided by informed dialogue, transparency, and meaningful involvement. Your engagement helps ensure that community priorities, values, and expectations remain at the center of all discussions and considerations moving forward.
We also acknowledge the collaborative efforts of Westbow in listening to community input and participating in this engagement process. Continued dialogue, reflection, and relationship-building remain essential as we consider next steps guided by the direction of the community.
Community leadership will now take a moment to thoughtfully regroup, reflect on what has been shared, and develop a path forward that includes further engagement and a community-informed development plan. More information will be shared with membership as this work progresses.
Most importantly, we honour and thank every community member whose participation helped shape this process. Your voices matter. Your guidance is valued. And your continued involvement strengthens our collective path forward.
With gratitude and respect, we thank you for standing together in community and for contributing to a process rooted in listening, learning, and shared responsibility.
-SȾÁUTW̱ Chief & Council
Thank You from Westbow Group of Companies
On behalf of the entire Westbow Team,
I would like to extend our sincere appreciation to all SȾÁUTW̱ community members who took the time to participate in our recent engagement process and community vote.
Over the past months, we completed fourteen community engagement sessions and held discussions with the SȾÁUTW̱ Lands Advisory Committee, SȾÁUTW̱ Administration, and both past and present Chief and Council. Each meeting, conversation, and gathering allowed us to listen, learn, and better understand your community’s goals, values, and vision for the future.
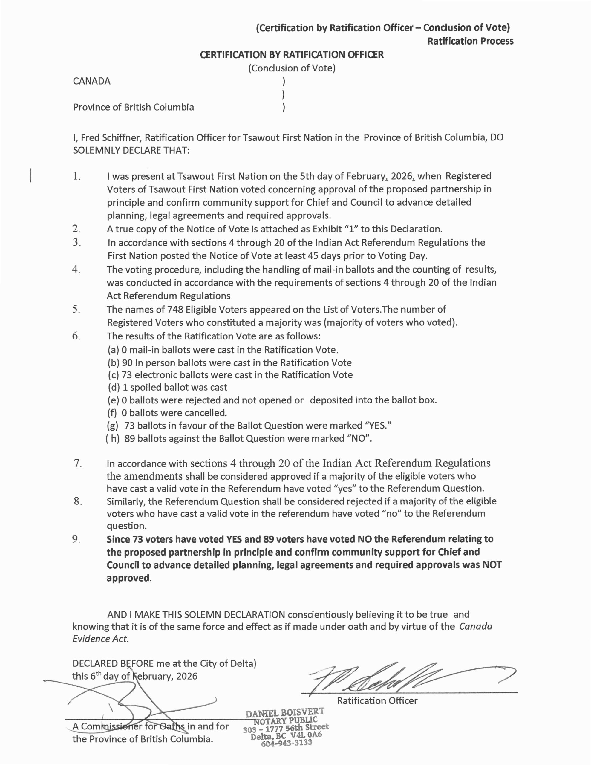
The purpose of the community vote was to hear directly from membership—whether there is support for moving forward with a land and development partnership, or whether there are expectations and priorities that should be further reflected, strengthened, or reconsidered within the proposal. Your participation and your voices are essential in shaping the path ahead.
We want to thank every person who attended the sessions, asked questions, shared insights, or exercised their vote. Your involvement demonstrates the strength of the SȾÁUTW̱ community and the importance of ensuring that any partnership is built on clarity, transparency, and mutual respect.
Westbow remains committed to working collaboratively and honorably with the SȾÁUTW̱ Nation. We will carefully review and reflect on everything you shared throughout this process, and we look forward to the opportunity to continue meaningful conversations based on the direction provided by the community.
Thank you again for your time, engagement, and guidance.
Sincerely,
Nick Westeringh,
Westbow Group of Companies


